Размер шрифта:
Цвета сайта:
Изображения:
 

Сибирская язва

Большая медицинская библиотека
Читать отрывок
Подписка
Читать отрывок
Сибирская язва / Д. А. Валишин, Р. Т. Мурзабаева, А. П. Мамон и др. - Уфа : БГМУ, 2016. - 34 c. - Текст : электронный // ЭБС "Букап" : [сайт]. - URL : https://www.books-up.ru/ru/book/sibirskaya-yazva-11724751/ (дата обращения: 18.05.2026). - Режим доступа : по подписке.
Аннотация

Учебное пособие подготовлено в соответствии с основной образовательной программой (ООП) высшего образования – уровень подготовки кадров высшей квалификации – программой ординатуры специальности 31.08.35 – Инфекционные болезни.
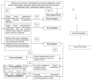
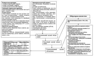
В учебном пособии представлены современные аспекты этиологии, эпидемиологии, патогенеза, клинической картины, диагностики, дифференциальной диагностики, лечения, профилактики сибирской язвы. Усвоению материала будет способствовать предложенный комплекс тестовых заданий и ситуационных задач с эталонами ответов.
Учебное пособие предназначено для обучающихся в ординатуре по специальности 31.08.35 – Инфекционные болезни.

свернуть
Дополнительные материалы
Видео 0
В этом разделе еще нет дополнительных материалов, будьте первыми.
Аудио 0
В этом разделе еще нет дополнительных материалов, будьте первыми.
Документы 0
В этом разделе еще нет дополнительных материалов, будьте первыми.
Добавить материал
Большая медицинская библиотека
Сибирская язва / Д. А. Валишин, Р. Т. Мурзабаева, А. П. Мамон и др. - Уфа : БГМУ, 2016. - 34 c. - Текст : электронный // ЭБС "Букап" : [сайт]. - URL : https://www.books-up.ru/ru/book/sibirskaya-yazva-11724751/ (дата обращения: 18.05.2026). - Режим доступа : по подписке.
Подписка
12 месяцев
Читать отрывок

Учебное пособие подготовлено в соответствии с основной образовательной программой (ООП) высшего образования – уровень подготовки кадров высшей квалификации – программой ординатуры специальности 31.08.35 – Инфекционные болезни.
В учебном пособии представлены современные аспекты этиологии, эпидемиологии, патогенеза, клинической картины, диагностики, дифференциальной диагностики, лечения, профилактики сибирской язвы. Усвоению материала будет способствовать предложенный комплекс тестовых заданий и ситуационных задач с эталонами ответов.
Учебное пособие предназначено для обучающихся в ординатуре по специальности 31.08.35 – Инфекционные болезни.

свернуть

Дополнительные материалы

В этом разделе еще нет дополнительных материалов, будьте первыми.
В этом разделе еще нет дополнительных материалов, будьте первыми.
В этом разделе еще нет дополнительных материалов, будьте первыми.
Добавить материал

Похожие книги